Официальное опубликование правовых актов
ОФИЦИАЛЬНОЕ ОПУБЛИКОВАНИЕ
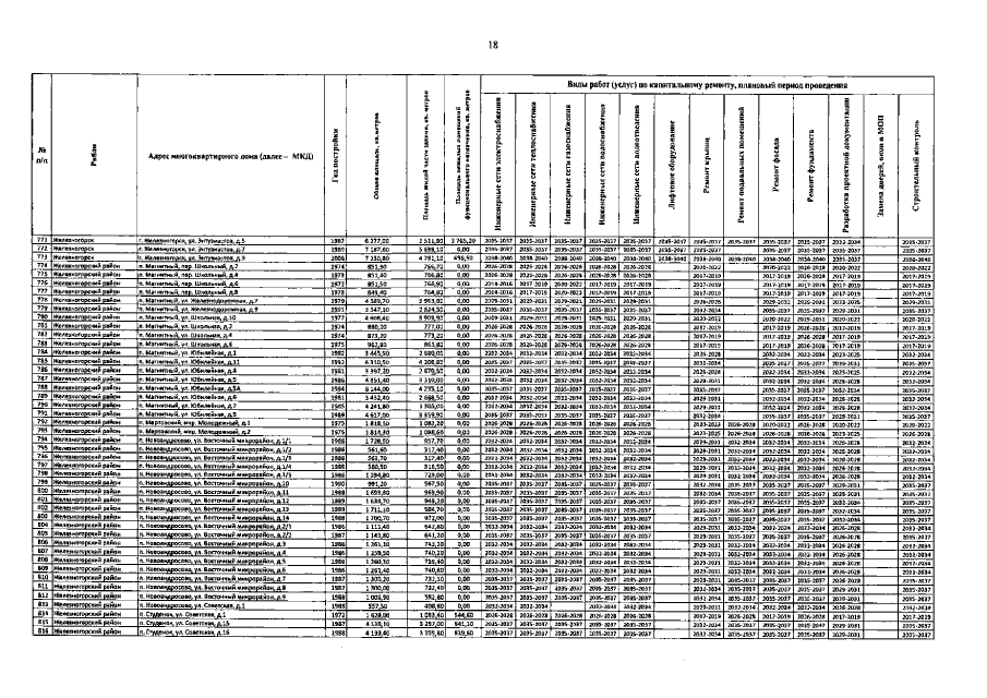
Постановление Администрации Курской области от 28.08.2019 № 819-па
"О внесении изменений в Региональную программу капитального ремонта общего имущества в многоквартирных домах, расположенных на территории Курской области"
Номер опубликования: 4600201909020001
Дата опубликования: 02.09.2019
Страница №19 из 109:
Увеличить