Официальное опубликование правовых актов
ОФИЦИАЛЬНОЕ ОПУБЛИКОВАНИЕ
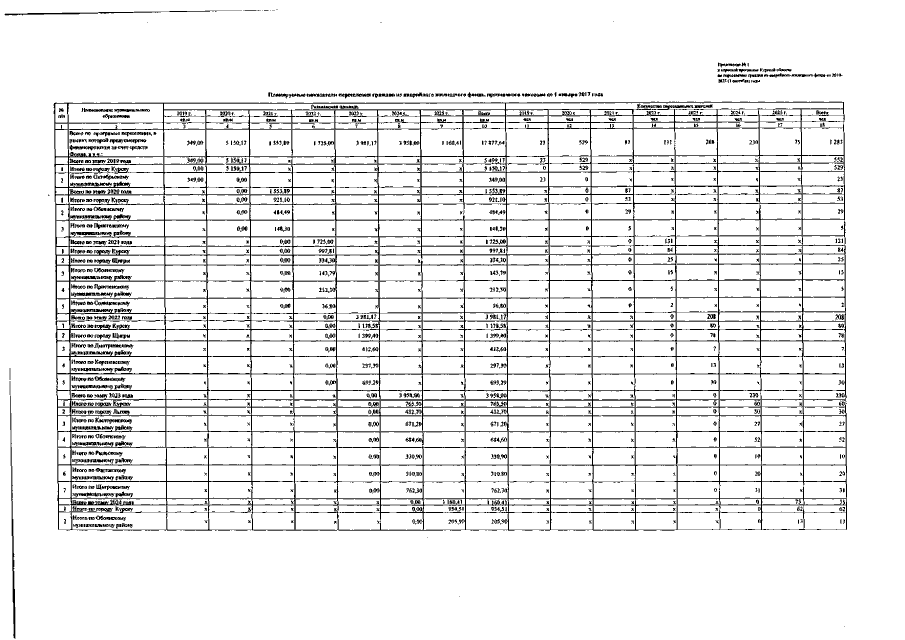
Постановление Администрации Курской области от 04.06.2019 № 499-па
"О внесении изменений в адресную программу Курской области по переселению граждан из аварийного жилищного фонда на 2019-2025 (1 сентября) годы, утвержденную постановлением Администрации Курской области от 29.03.2019 № 259-па"
Номер опубликования: 4600201906050001
Дата опубликования: 05.06.2019
Страница №28 из 37:
Увеличить