Официальное опубликование правовых актов
ОФИЦИАЛЬНОЕ ОПУБЛИКОВАНИЕ
Постановление Администрации Курской области от 29.05.2019 № 479-па
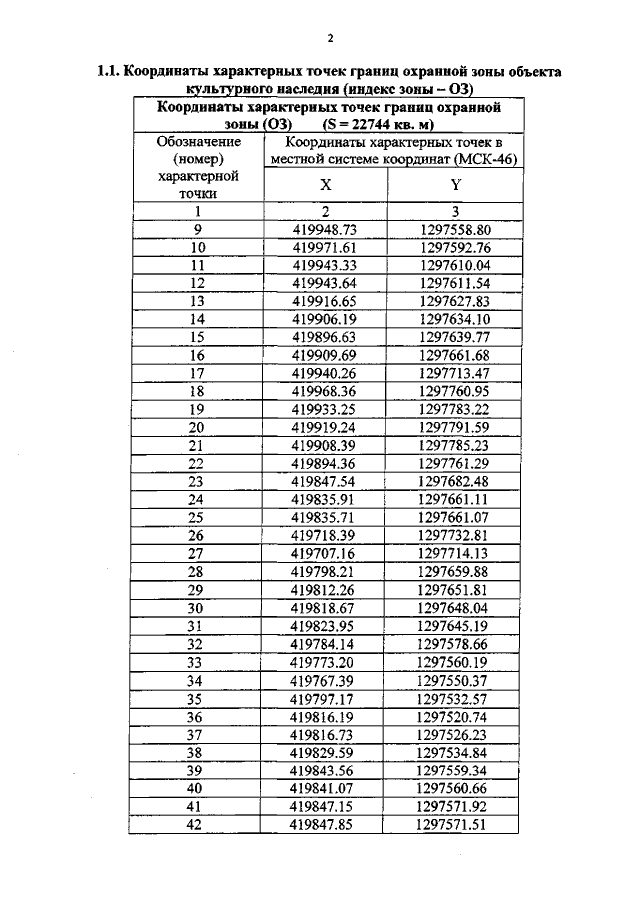
"Об утверждении границ зон охраны объекта культурного наследия регионального значения "Дом жилой", 1879 г., расположенного по адресу: г. Курск, ул. Дзержинского, 81, режима использования земель и требований к градостроительным регламентам в границах данных зон"
Номер опубликования: 4600201906030007
Дата опубликования: 03.06.2019
Страница №4 из 14:
Увеличить