Официальное опубликование правовых актов
ОФИЦИАЛЬНОЕ ОПУБЛИКОВАНИЕ
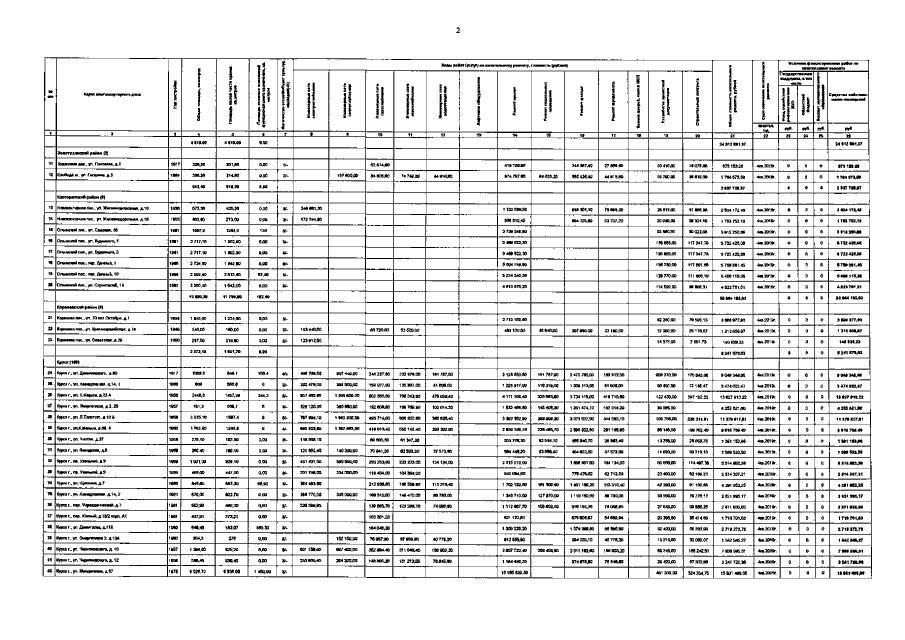
Постановление Администрации Курской области от 15.04.2019 № 327-па
"О внесении изменений в краткосрочный план реализации Региональной программы капитального ремонта общего имущества в многоквартирных домах, расположенных на территории Курской области, на 2017-2019 годы"
Номер опубликования: 4600201904190014
Дата опубликования: 19.04.2019
Страница №3 из 23:
Увеличить