Официальное опубликование правовых актов
ОФИЦИАЛЬНОЕ ОПУБЛИКОВАНИЕ
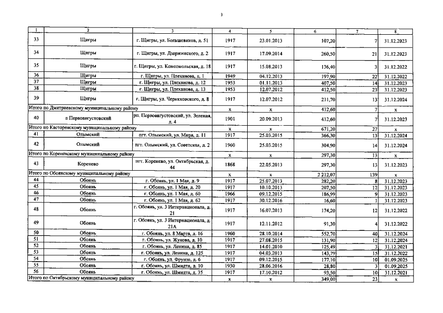
Постановление Администрации Курской области от 29.03.2019 № 259-па
"Об утверждении адресной программы Курской области по переселению граждан из аварийного жилищного фонда на 2019-2025 (1 сентября) годы"
Номер опубликования: 4600201904050015
Дата опубликования: 05.04.2019
Страница №14 из 24:
Увеличить