Официальное опубликование правовых актов
ОФИЦИАЛЬНОЕ ОПУБЛИКОВАНИЕ
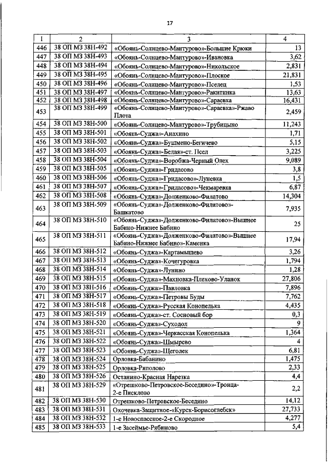
Постановление Администрации Курской области от 28.03.2019 № 249-па
"О внесении изменений в Перечень автомобильных дорог общего пользования регионального или межмуниципального значения Курской области"
Номер опубликования: 4600201903290002
Дата опубликования: 29.03.2019
Страница №18 из 27:
Увеличить