Официальное опубликование правовых актов
ОФИЦИАЛЬНОЕ ОПУБЛИКОВАНИЕ
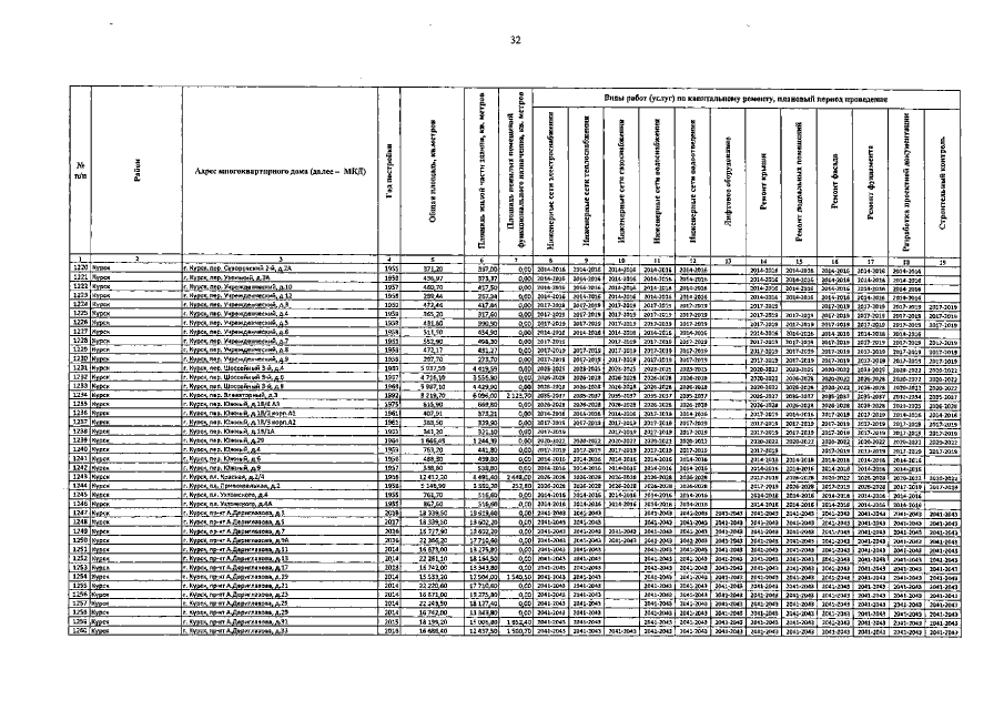
Постановление Администрации Курской области от 04.02.2019 № 58-па
"О внесении изменений в Региональную программу капитального ремонта общего имущества в многоквартирных домах, расположенных на территории Курской области"
Номер опубликования: 4600201902050009
Дата опубликования: 05.02.2019
Страница №33 из 128:
Увеличить