Официальное опубликование правовых актов
ОФИЦИАЛЬНОЕ ОПУБЛИКОВАНИЕ
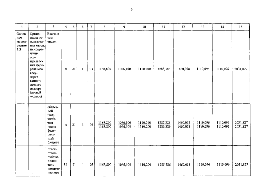
Постановление Администрации Курской области от 28.12.2018 № 1085-па
"О внесении изменений в государственную программу Курской области "Развитие лесного хозяйства в Курской области"
Номер опубликования: 4600201812290003
Дата опубликования: 29.12.2018
Страница №10 из 19:
Увеличить