Официальное опубликование правовых актов
ОФИЦИАЛЬНОЕ ОПУБЛИКОВАНИЕ
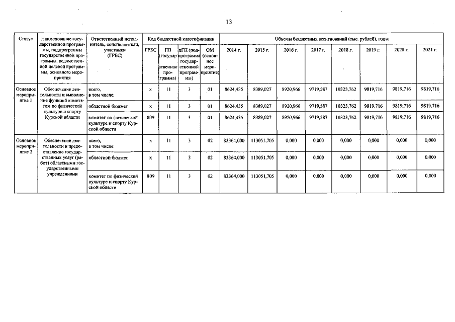
Постановление Администрации Курской области от 11.12.2018 № 999-па
"О внесении изменений в государственную программу Курской области "Развитие физической культуры и спорта в Курской области"
Номер опубликования: 4600201812130002
Дата опубликования: 13.12.2018
Страница №14 из 16:
Увеличить