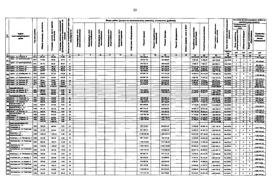
Постановление Администрации Курской области от 30.08.2018 № 700-па "О внесении изменений в краткосрочный план реализации Региональной программы капитального ремонта общего имущества в многоквартирных домах, расположенных на территории Курской области, на 2017-2019 годы"
Номер опубликования: 4600201808310009
Дата опубликования:
31.08.2018
