Официальное опубликование правовых актов
ОФИЦИАЛЬНОЕ ОПУБЛИКОВАНИЕ
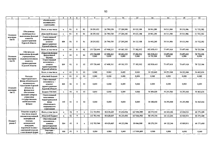
Постановление Администрации Курской области от 08.08.2018 № 639-па
"О внесении изменений в государственную программу Курской области "Развитие здравоохранения в Курской области"
Номер опубликования: 4600201808100014
Дата опубликования: 10.08.2018
Страница №94 из 100:
Увеличить