Официальное опубликование правовых актов
ОФИЦИАЛЬНОЕ ОПУБЛИКОВАНИЕ
Распоряжение Губернатора Курской области от 28.06.2018 № 172-рг
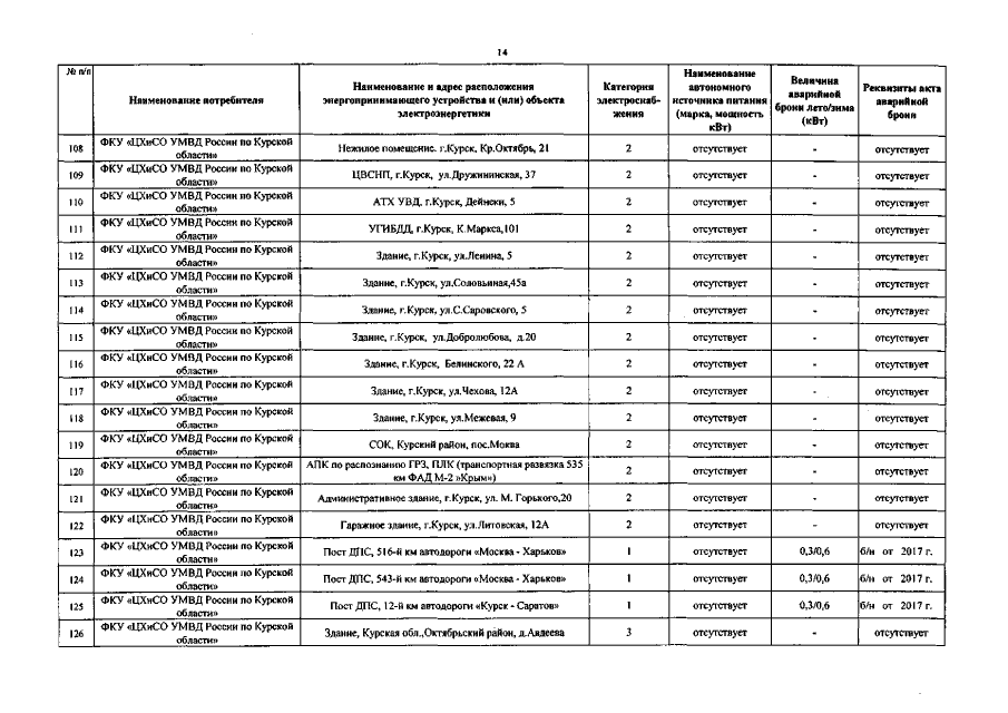
"Об утверждении Перечня потребителей электрической энергии, ограничение режима потребления электроэнергии которых может привести к экономическим, экологическим или социальным последствиям на территории Курской области на 2018-2019 годы"
Номер опубликования: 4600201807030005
Дата опубликования: 03.07.2018
Страница №16 из 139:
Увеличить