Официальное опубликование правовых актов
ОФИЦИАЛЬНОЕ ОПУБЛИКОВАНИЕ
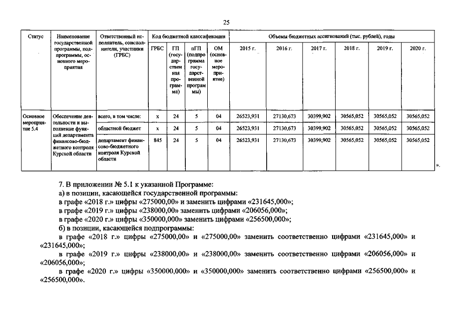
Постановление Администрации Курской области от 13.02.2018 № 92-па
"О внесении изменений в государственную программу Курской области "Создание условий для эффективного и ответственного управления региональными и муниципальными финансами, государственным долгом и повышения устойчивости бюджетов Курской области"
Номер опубликования: 4600201802140005
Дата опубликования: 14.02.2018
Страница №26 из 28:
Увеличить