Официальное опубликование правовых актов
ОФИЦИАЛЬНОЕ ОПУБЛИКОВАНИЕ
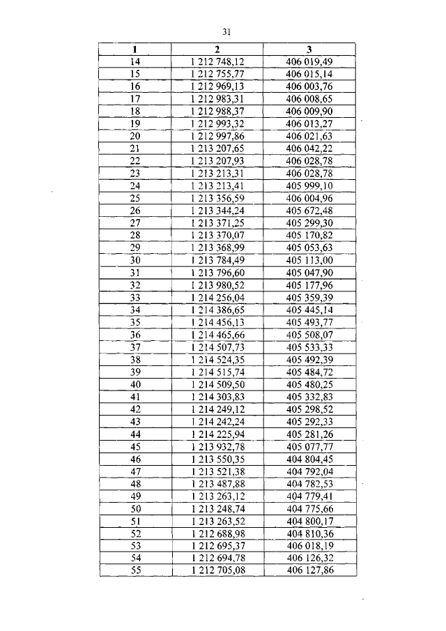
Постановление Администрации Курской области от 11.01.2018 № 10-па
"Об утверждении границ зон охраны, требований к градостроительным регламентам в границах зон охраны и особого режима использования земельного участка в границах зон охраны объекта культурного наследия федерального значения "Усадьба Барятинских "Марьино", XIX-XX века", расположенного по адресу Курская область, Рыльский район, поселок Марьино"
Номер опубликования: 4600201801160002
Дата опубликования: 16.01.2018
Страница №33 из 55:
Увеличить