Официальное опубликование правовых актов
ОФИЦИАЛЬНОЕ ОПУБЛИКОВАНИЕ
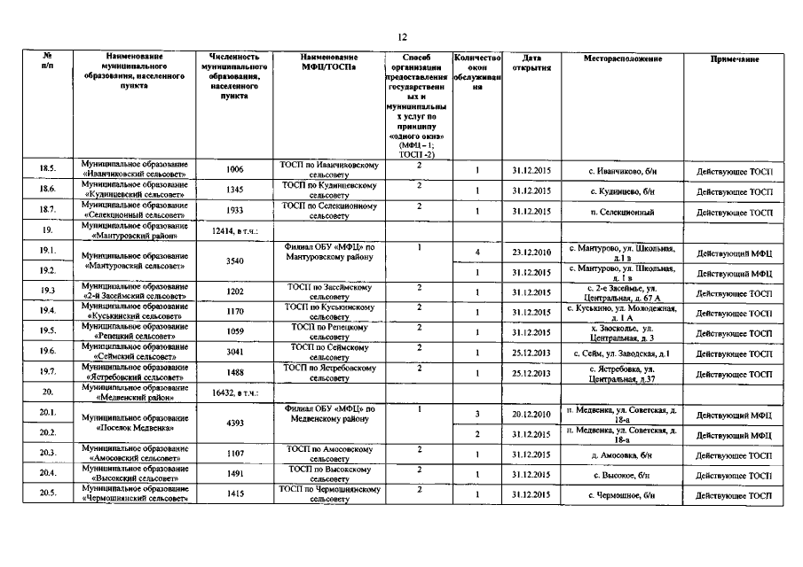
Распоряжение Губернатора Курской области от 09.01.2018 № 1-рг
"Об утверждении схемы размещения многофункциональных центров предоставления государственных и муниципальных услуг Курской области"
Номер опубликования: 4600201801110005
Дата опубликования: 11.01.2018
Страница №13 из 19:
Увеличить