Официальное опубликование правовых актов
ОФИЦИАЛЬНОЕ ОПУБЛИКОВАНИЕ
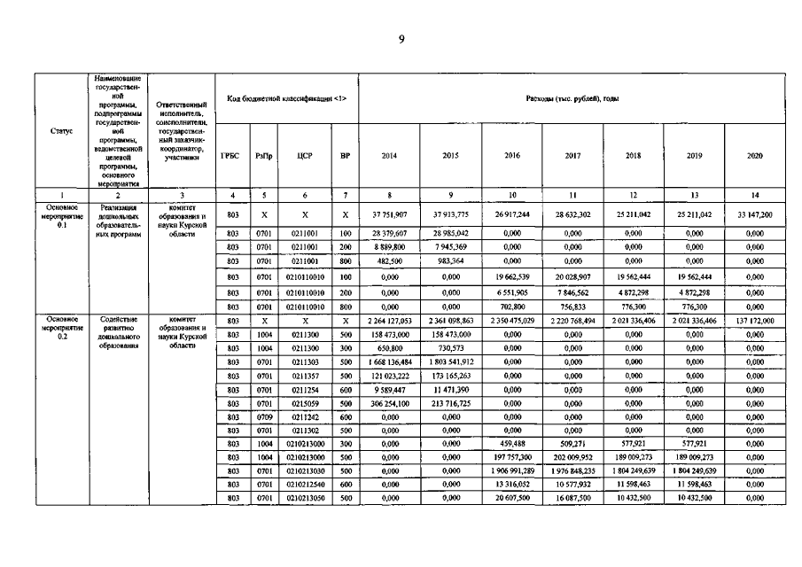
Постановление Администрации Курской области от 22.12.2017 № 1076-па
"О внесении изменений в государственную программу Курской области "Развитие образования в Курской области"
Номер опубликования: 4600201712280013
Дата опубликования: 28.12.2017
Страница №10 из 36:
Увеличить