Официальное опубликование правовых актов
ОФИЦИАЛЬНОЕ ОПУБЛИКОВАНИЕ
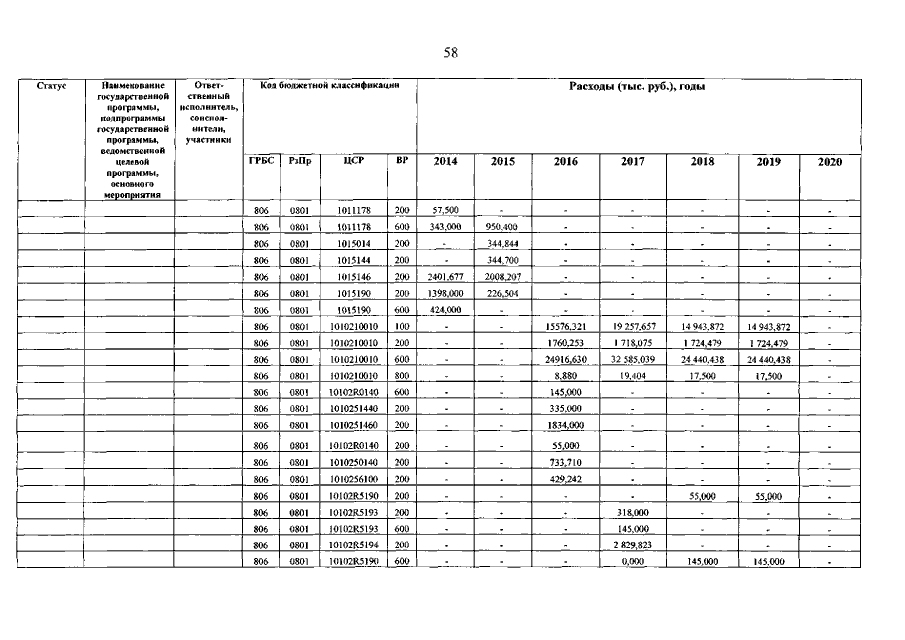
Постановление Администрации Курской области от 12.12.2017 № 1016-па "О внесении изменений в государственную программу Курской области "Развитие культуры в Курской области"
Номер опубликования: 4600201712140022
Дата опубликования: 14.12.2017
Страница №59 из 72:
Увеличить