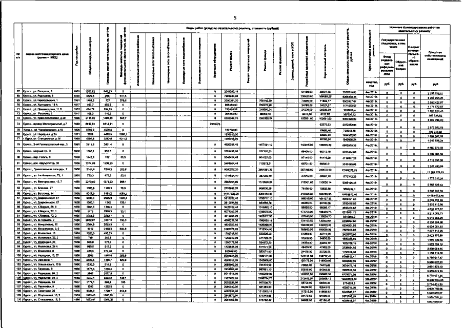
Постановление Администрации Курской области от 01.12.2017 № 976-па "О внесении изменений в краткосрочный план реализации Региональной программы капитального ремонта общего имущества в многоквартирных домах, расположенных на территории Курской области, на 2017-2019 годы"
Номер опубликования: 4600201712080022
Дата опубликования:
08.12.2017
