Официальное опубликование правовых актов
ОФИЦИАЛЬНОЕ ОПУБЛИКОВАНИЕ
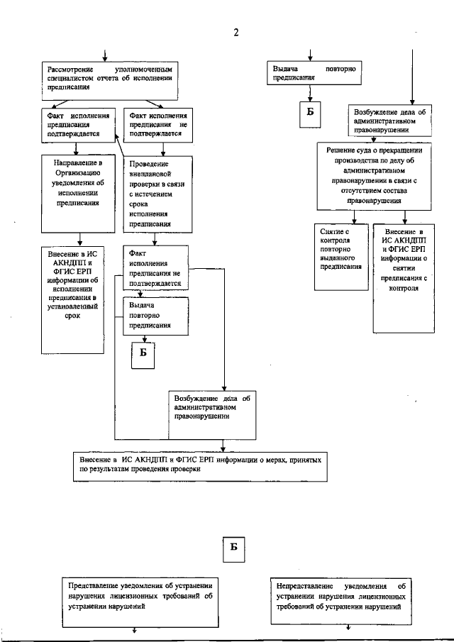
Постановление Губернатора Курской области от 02.08.2017 № 231-пг
"Об утверждении административного регламента исполнения комитетом образования и науки Курской области государственной функции по осуществлению лицензионного контроля за образовательной деятельностью"
Номер опубликования: 4600201708070002
Дата опубликования: 07.08.2017
Страница №36 из 37:
Увеличить