Официальное опубликование правовых актов
ОФИЦИАЛЬНОЕ ОПУБЛИКОВАНИЕ
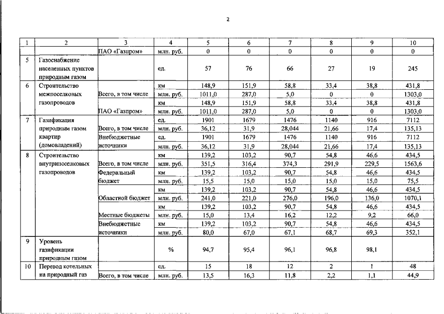
Постановление Администрации Курской области от 25.07.2017 № 603-па
"Об утверждении Региональной программы газификации жилищно- коммунального хозяйства, промышленных и иных организаций Курской области на 2017 - 2021 годы"
Номер опубликования: 4600201707270004
Дата опубликования: 27.07.2017
Страница №19 из 20:
Увеличить