Официальное опубликование правовых актов
ОФИЦИАЛЬНОЕ ОПУБЛИКОВАНИЕ
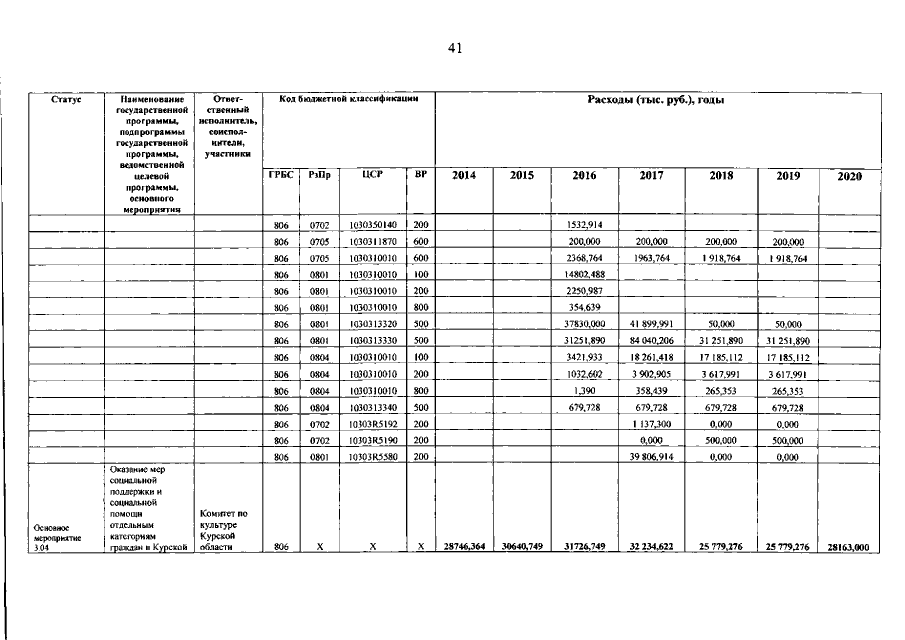
Постановление Администрации Курской области от 19.07.2017 № 589-па
"О внесении изменений в государственную программу Курской области "Развитие культуры в Курской области"
Номер опубликования: 4600201707210010
Дата опубликования: 21.07.2017
Страница №42 из 58:
Увеличить