Официальное опубликование правовых актов
ОФИЦИАЛЬНОЕ ОПУБЛИКОВАНИЕ
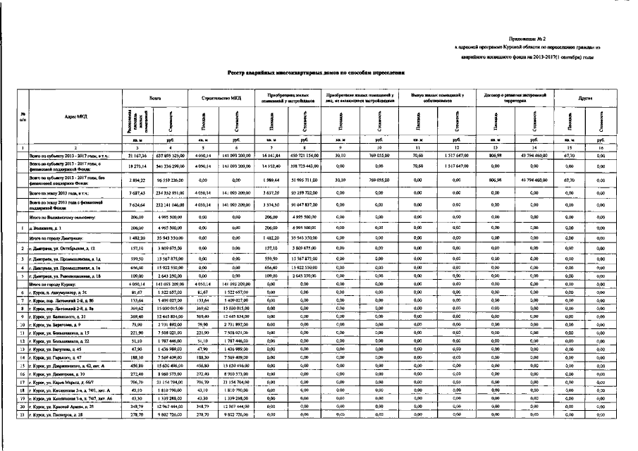
Постановление Администрации Курской области от 11.07.2017 № 554-па
"О внесении изменений в постановление Администрации Курской области от 28.03.2014 № 194-па "Об утверждении адресной программы Курской области по переселению граждан из аварийного жилищного фонда на 2013-2017 (1 сентября) годы"
Номер опубликования: 4600201707180025
Дата опубликования: 18.07.2017
Страница №33 из 39:
Увеличить