Официальное опубликование правовых актов
ОФИЦИАЛЬНОЕ ОПУБЛИКОВАНИЕ
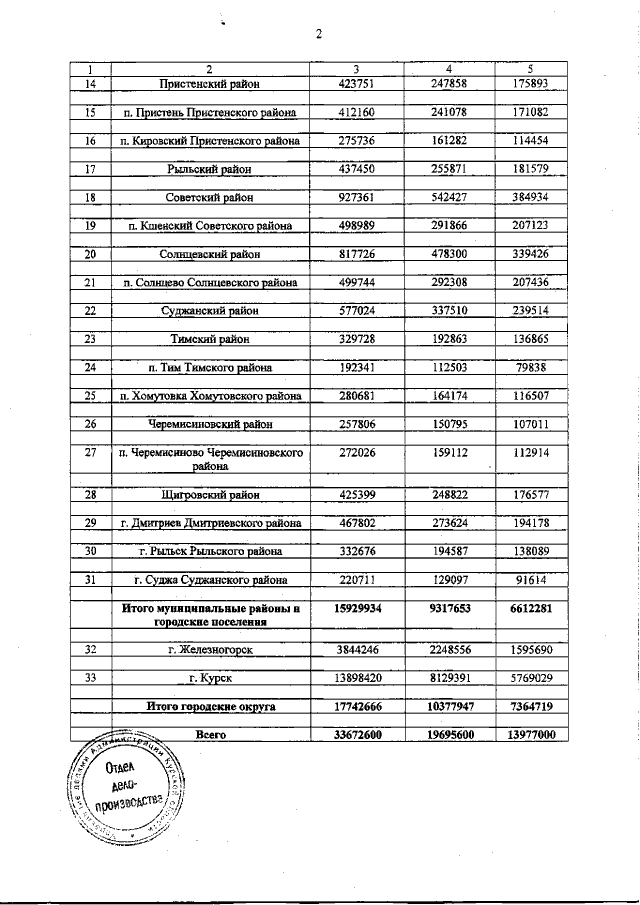
Постановление Администрации Курской области от 07.03.2017 № 181-па
"О распределении субсидий"
Номер опубликования: 4600201703090024
Дата опубликования: 09.03.2017
Страница №4 из 4:
Увеличить