Официальное опубликование правовых актов
ОФИЦИАЛЬНОЕ ОПУБЛИКОВАНИЕ
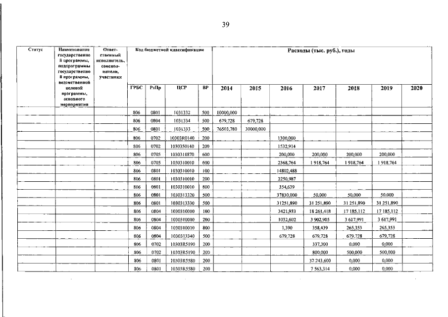
Постановление Администрации Курской области от 10.02.2017 № 93-па
"О внесении изменений в государственную программу Курской области "Развитие культуры в Курской области"
Номер опубликования: 4600201702150018
Дата опубликования: 15.02.2017
Страница №40 из 46:
Увеличить