Официальное опубликование правовых актов
ОФИЦИАЛЬНОЕ ОПУБЛИКОВАНИЕ
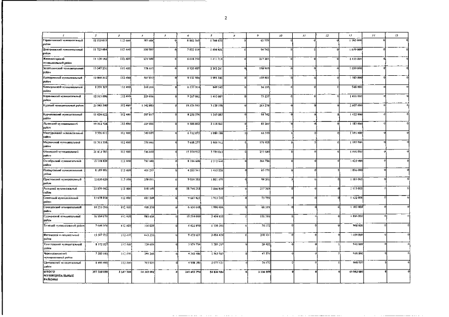
Закон Курской области от 13.12.2016 № 103-ЗКО
"Об областном бюджете на 2017 год и на плановый период 2018 и 2019 годов"
Номер опубликования: 4600201612190058
Дата опубликования: 19.12.2016
Страница №677 из 685:
Увеличить