Официальное опубликование правовых актов
ОФИЦИАЛЬНОЕ ОПУБЛИКОВАНИЕ
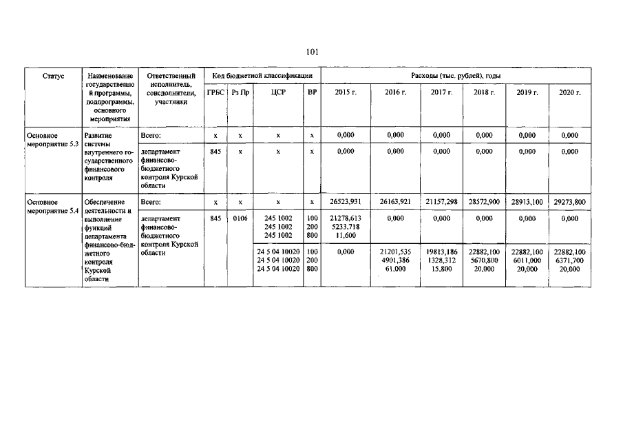
Постановление Администрации Курской области от 28.03.2016 № 165-па
"О внесении изменений в государственную программу Курской области "Создание условий для эффективного и ответственного управления региональными и муниципальными финансами, государственным долгом и повышения устойчивости бюджетов Курской области"
Номер опубликования: 4600201604040018
Дата опубликования: 04.04.2016
Страница №102 из 118:
Увеличить