Официальное опубликование правовых актов
ОФИЦИАЛЬНОЕ ОПУБЛИКОВАНИЕ
Постановление Администрации Курской области от 31.12.2015 № 985-па
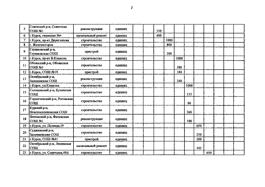
"Об утверждении программы "Создание новых мест в общеобразовательных организациях Курской области в соответствии с прогнозируемой потребностью и современными условиями обучения" на 2016-2025 годы"
Номер опубликования: 4600201601040045
Дата опубликования: 04.01.2016
Страница №77 из 133:
Увеличить