Официальное опубликование правовых актов
ОФИЦИАЛЬНОЕ ОПУБЛИКОВАНИЕ
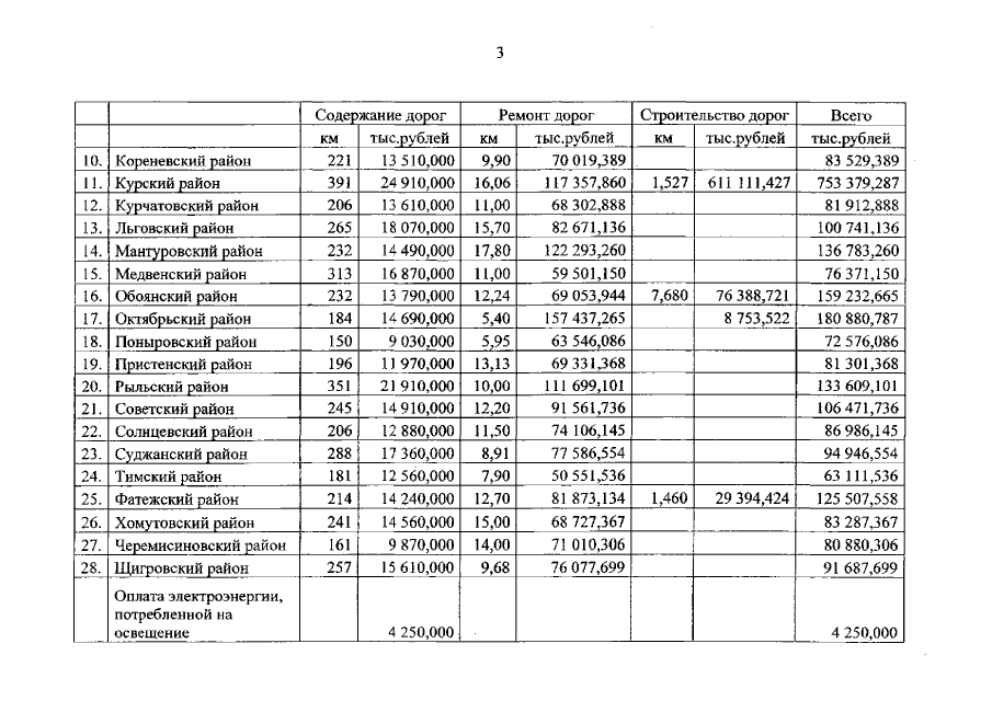
Постановление Администрации Курской области от 14.12.2015 № 883-па
"О внесении изменений в сводные объемы дорожных работ в районах Курской области на 2015 год"
Номер опубликования: 4600201512220007
Дата опубликования: 22.12.2015
Страница №4 из 6:
Увеличить