Официальное опубликование правовых актов
ОФИЦИАЛЬНОЕ ОПУБЛИКОВАНИЕ
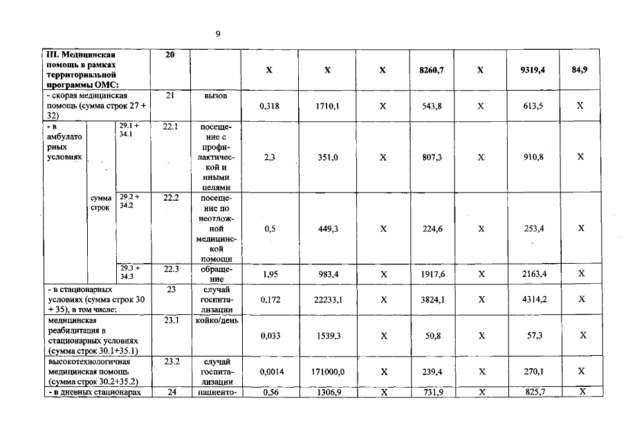
Постановление Администрации Курской области от 09.09.2015 № 591-па
"О внесении изменений в территориальную программу государственных гарантий бесплатного оказания гражданам медицинской помощи в Курской области на 2015 год и на плановый период 2016 и 2017 годов"
Номер опубликования: 4600201509110025
Дата опубликования: 11.09.2015
Страница №10 из 13:
Увеличить