Официальное опубликование правовых актов
ОФИЦИАЛЬНОЕ ОПУБЛИКОВАНИЕ
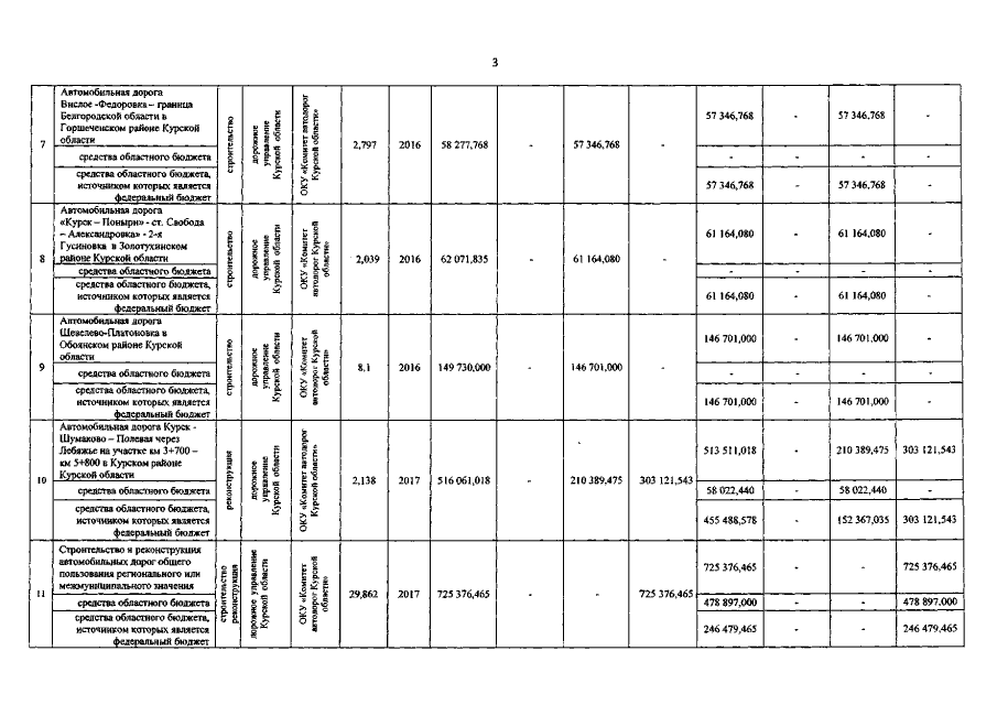
Постановление Администрации Курской области от 15.07.2015 № 433-па
"О внесении изменений в постановление Администрации Курской области от 22.12.2014 № 846-па "О принятии решения о подготовке и реализации бюджетных инвестиций в объекты государственной собственности Курской области в сфере дорожного хозяйства в 2015-2017 годах"
Номер опубликования: 4600201507200001
Дата опубликования: 20.07.2015
Страница №4 из 5:
Увеличить