Официальное опубликование правовых актов
ОФИЦИАЛЬНОЕ ОПУБЛИКОВАНИЕ
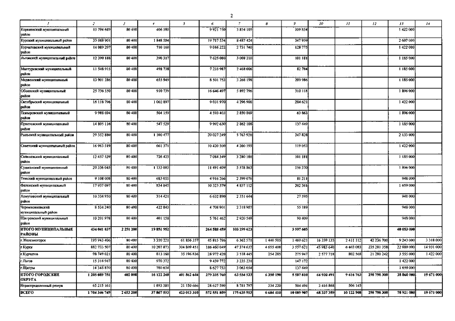
Закон Курской области от 18.06.2015 № 48-ЗКО
"О внесении изменений в Закон Курской области "Об областном бюджете на 2015 год и на плановый период 2016 и 2017 годов"
Номер опубликования: 4600201506240001
Дата опубликования: 24.06.2015
Страница №407 из 410:
Увеличить