Официальное опубликование правовых актов
ОФИЦИАЛЬНОЕ ОПУБЛИКОВАНИЕ
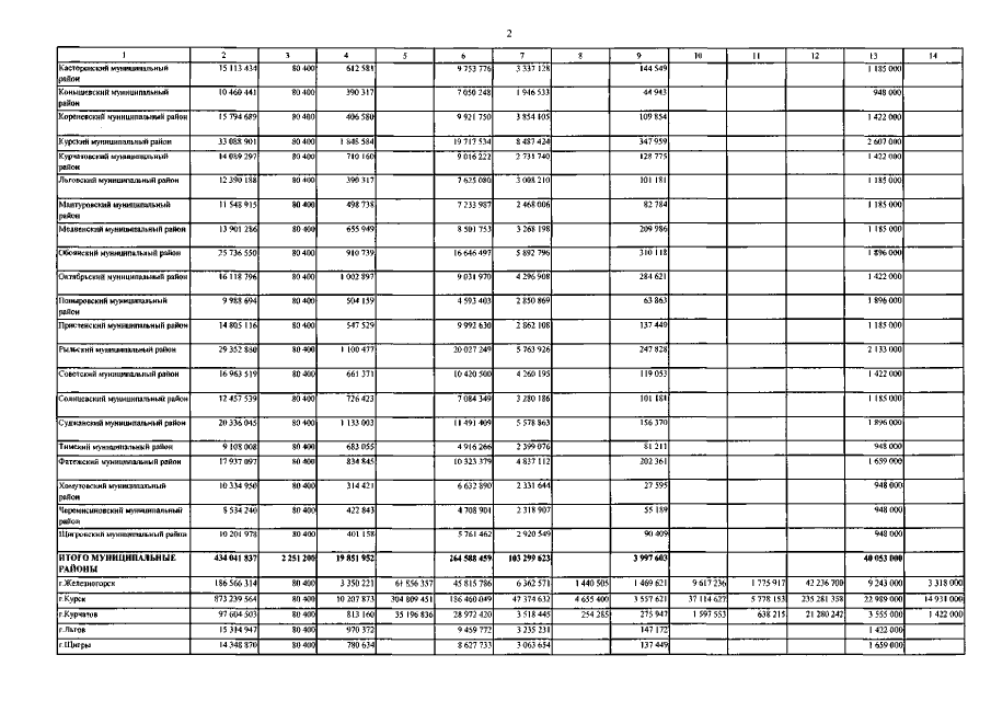
Закон Курской области от 01.12.2014 № 88-ЗКО
"Об областном бюджете на 2015 год и на плановый период 2016 и 2017 годов"
Номер опубликования: 4600201412050009
Дата опубликования: 05.12.2014
Страница №471 из 510:
Увеличить