Официальное опубликование правовых актов
ОФИЦИАЛЬНОЕ ОПУБЛИКОВАНИЕ
Приказ Департамента гражданской защиты, охраны окружающей среды и природных ресурсов Курганской области от 18.08.2025 № 214
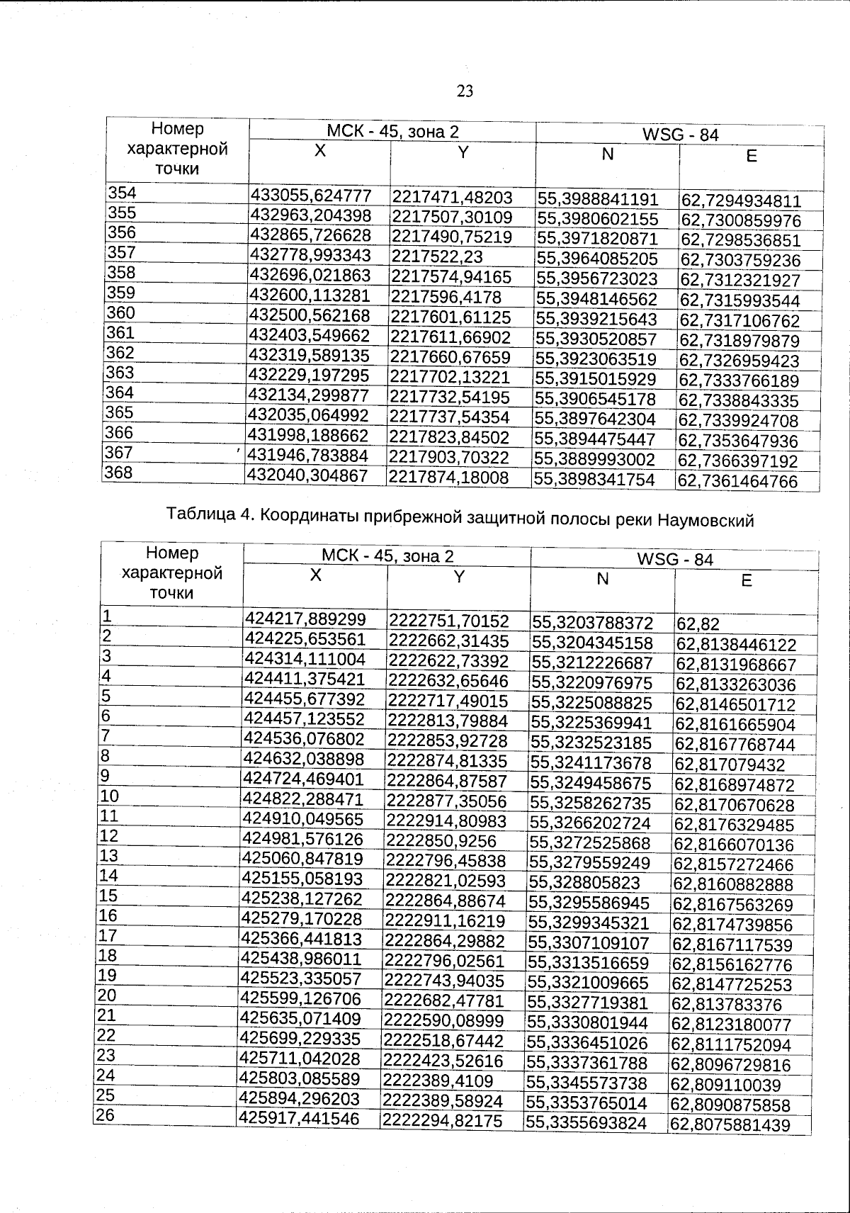
"Об утверждении местоположения береговых линий, границ водоохранных зон и прибрежных защитных полос реки Наумовский в границах Щучанского муниципального округа Курганской области"
(Зарегистрирован 18.08.2025 № 250320214)
Номер опубликования: 4501202508190001
Дата опубликования: 19.08.2025
Страница №23 из 32:
Увеличить