Приказ Департамента социальной политики Курганской области от 11.04.2025 № 91/Пр
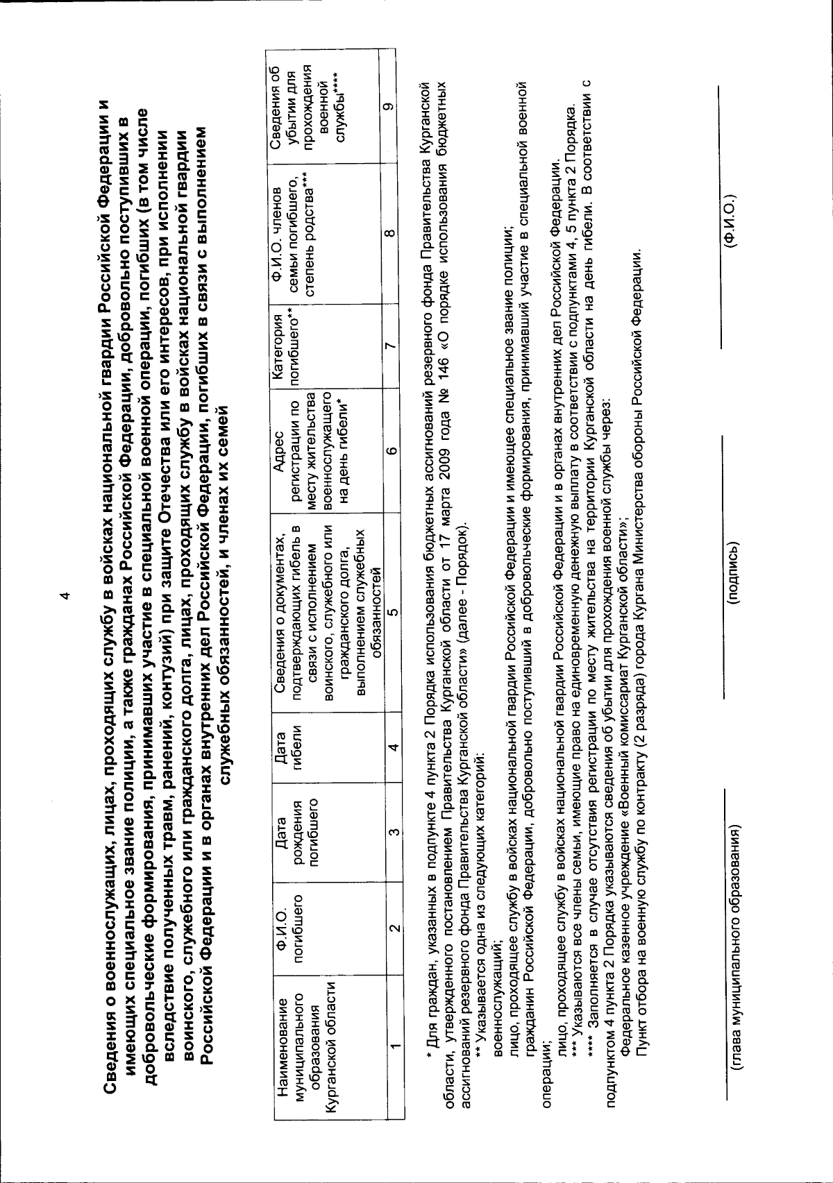
"Об утверждении формы сведений о военнослужащих, лицах, проходящих службу в войсках национальной гвардии Российской Федерации и имеющих специальное звание полиции, а также гражданах Российской Федерации, добровольно поступивших в добровольческие формирования, принимавших участие в специальной военной операции, погибших (в том числе вследствие полученных травм, ранений, контузий) при защите Отечества или его интересов, при исполнении воинского, служебного или гражданского долга, лицах, проходящих службу в войсках национальной гвардии Российской Федерации и в органах внутренних дел Российской Федерации, погибших в связи с выполнением служебных обязанностей, и членах их семей"
(Зарегистрирован 11.04.2025 № 252120091)
"Об утверждении формы сведений о военнослужащих, лицах, проходящих службу в войсках национальной гвардии Российской Федерации и имеющих специальное звание полиции, а также гражданах Российской Федерации, добровольно поступивших в добровольческие формирования, принимавших участие в специальной военной операции, погибших (в том числе вследствие полученных травм, ранений, контузий) при защите Отечества или его интересов, при исполнении воинского, служебного или гражданского долга, лицах, проходящих службу в войсках национальной гвардии Российской Федерации и в органах внутренних дел Российской Федерации, погибших в связи с выполнением служебных обязанностей, и членах их семей"
(Зарегистрирован 11.04.2025 № 252120091)
Номер опубликования: 4501202504140002
Дата опубликования:
14.04.2025
