Официальное опубликование правовых актов
ОФИЦИАЛЬНОЕ ОПУБЛИКОВАНИЕ
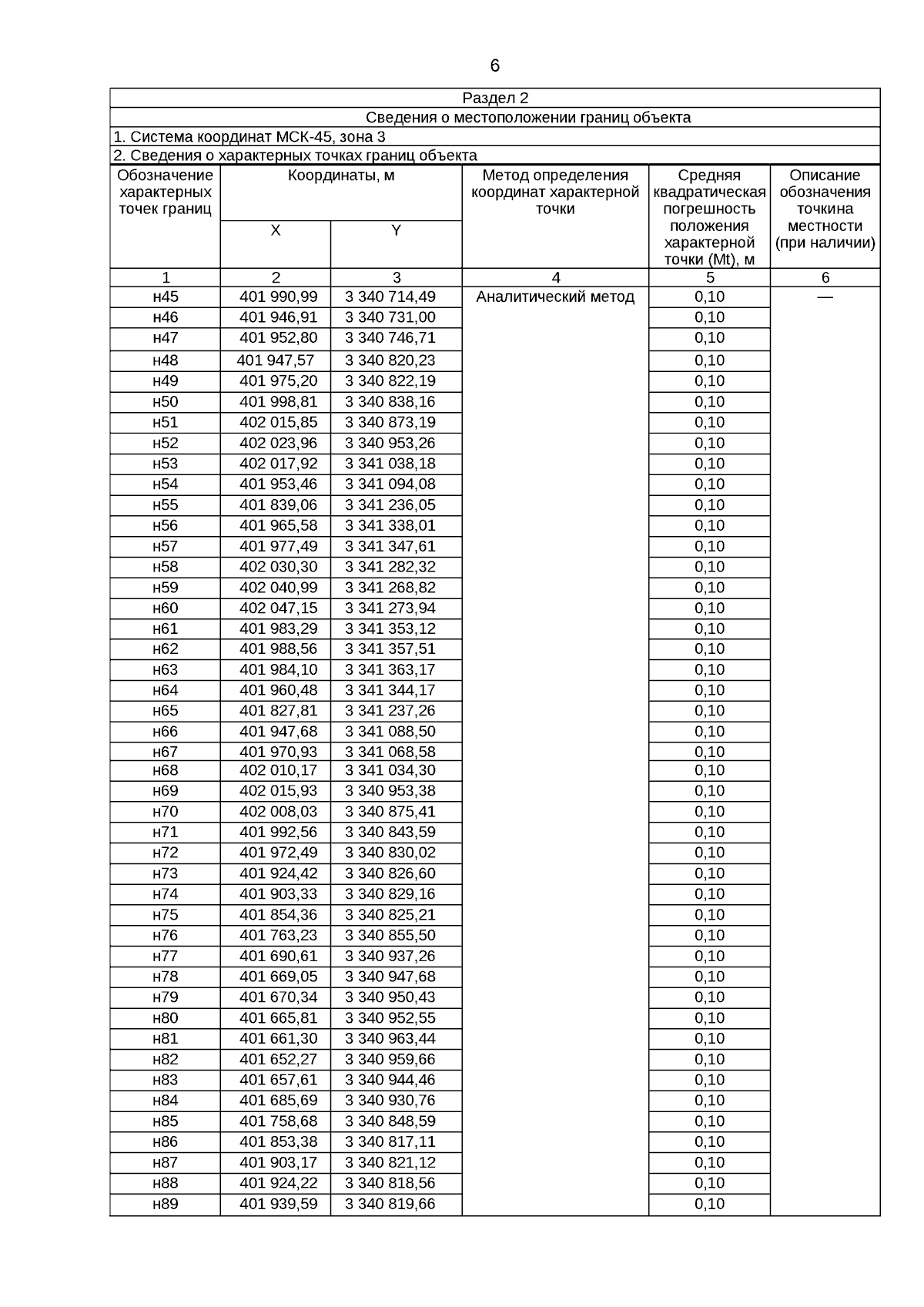
Постановление Департамента имущественных и земельных отношений Курганской области от 14.01.2025 № 1-п
"Об установлении публичного сервитута"
(Зарегистрирован 14.01.2025 № 250510001)
Номер опубликования: 4501202501150002
Дата опубликования: 15.01.2025
Страница №6 из 9:
Увеличить