Официальное опубликование правовых актов
ОФИЦИАЛЬНОЕ ОПУБЛИКОВАНИЕ
Постановление Департамента государственного регулирования цен и тарифов Курганской области от 17.12.2024 № 59-2
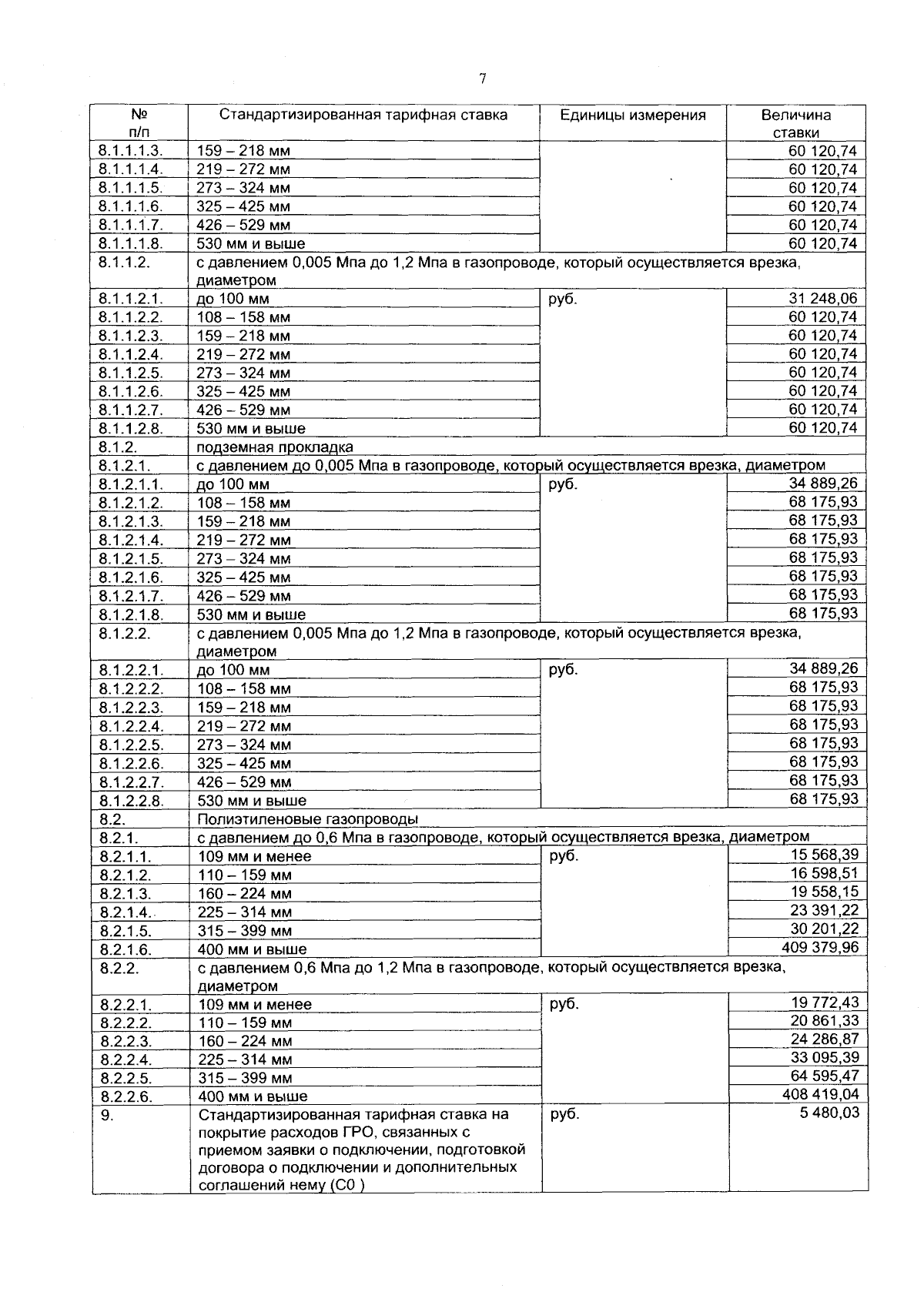
"Об установлении стандартизированных тарифных ставок, используемых для определения величины платы за технологическое присоединение газоиспользующего оборудования к газораспределительным сетям Акционерного общества "Курганоблгаз" на территории Курганской области на 2025 год"
(Зарегистрирован 17.12.2024 № 240210202)
Номер опубликования: 4501202412180024
Дата опубликования: 18.12.2024
Страница №7 из 12:
Увеличить