Официальное опубликование правовых актов
ОФИЦИАЛЬНОЕ ОПУБЛИКОВАНИЕ
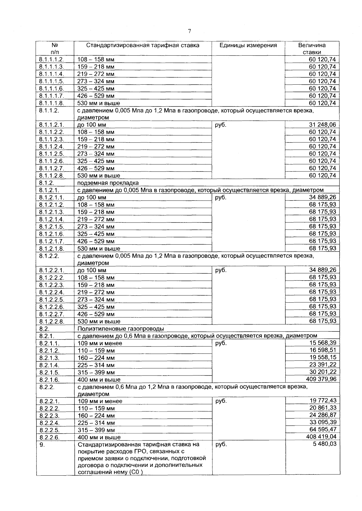
Постановление Департамента государственного регулирования цен и тарифов Курганской области от 17.12.2024 № 59-1
"Об установлении стандартизированных тарифных ставок, используемых для определения величины платы за технологическое присоединение газоиспользующего оборудования к газораспределительным сетям Акционерного общества "Газпром газораспределение Курган" на территории Курганской области на 2025 год"
(Зарегистрирован 17.12.2024 № 240210201)
Номер опубликования: 4501202412180002
Дата опубликования: 18.12.2024
Страница №7 из 12:
Увеличить