Официальное опубликование правовых актов
ОФИЦИАЛЬНОЕ ОПУБЛИКОВАНИЕ
Постановление Департамента имущественных и земельных отношений Курганской области от 03.12.2024 № 58-п
"Об установлении публичного сервитута"
(Зарегистрирован 03.12.2024 № 240510058)
Номер опубликования: 4501202412040022
Дата опубликования: 04.12.2024
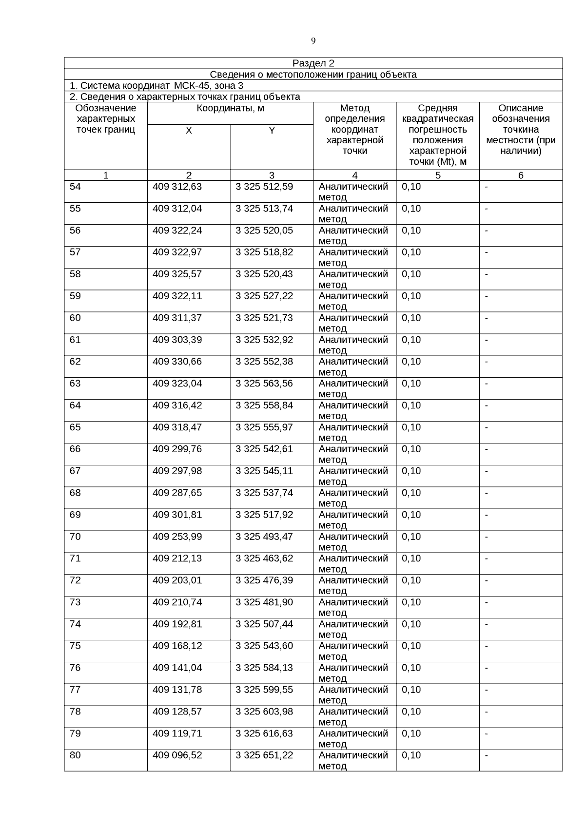
Страница №9 из 25:
Увеличить