Приказ Департамента гражданской защиты, охраны окружающей среды и природных ресурсов Курганской области от 21.11.2024 № 410
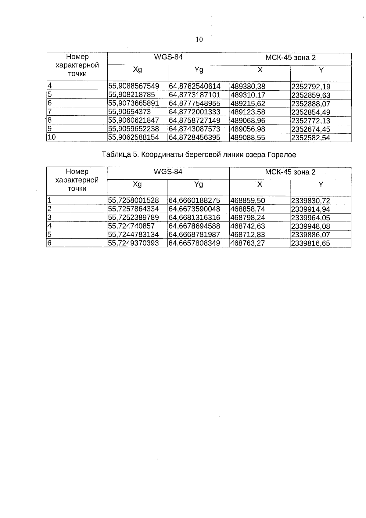
"Об утверждении границ водоохранных зон, прибрежных защитных полос и местоположения береговой линии (границ водного объекта) реки Исеть, озер Домашнее и Горелое в границах Каргапольского муниципального округа Курганской области"
(Зарегистрирован 21.11.2024 № 240320410)
"Об утверждении границ водоохранных зон, прибрежных защитных полос и местоположения береговой линии (границ водного объекта) реки Исеть, озер Домашнее и Горелое в границах Каргапольского муниципального округа Курганской области"
(Зарегистрирован 21.11.2024 № 240320410)
Номер опубликования: 4501202411220002
Дата опубликования:
22.11.2024
