Официальное опубликование правовых актов
ОФИЦИАЛЬНОЕ ОПУБЛИКОВАНИЕ
Приказ Департамента гражданской защиты, охраны окружающей среды и природных ресурсов Курганской области от 21.11.2024 № 409
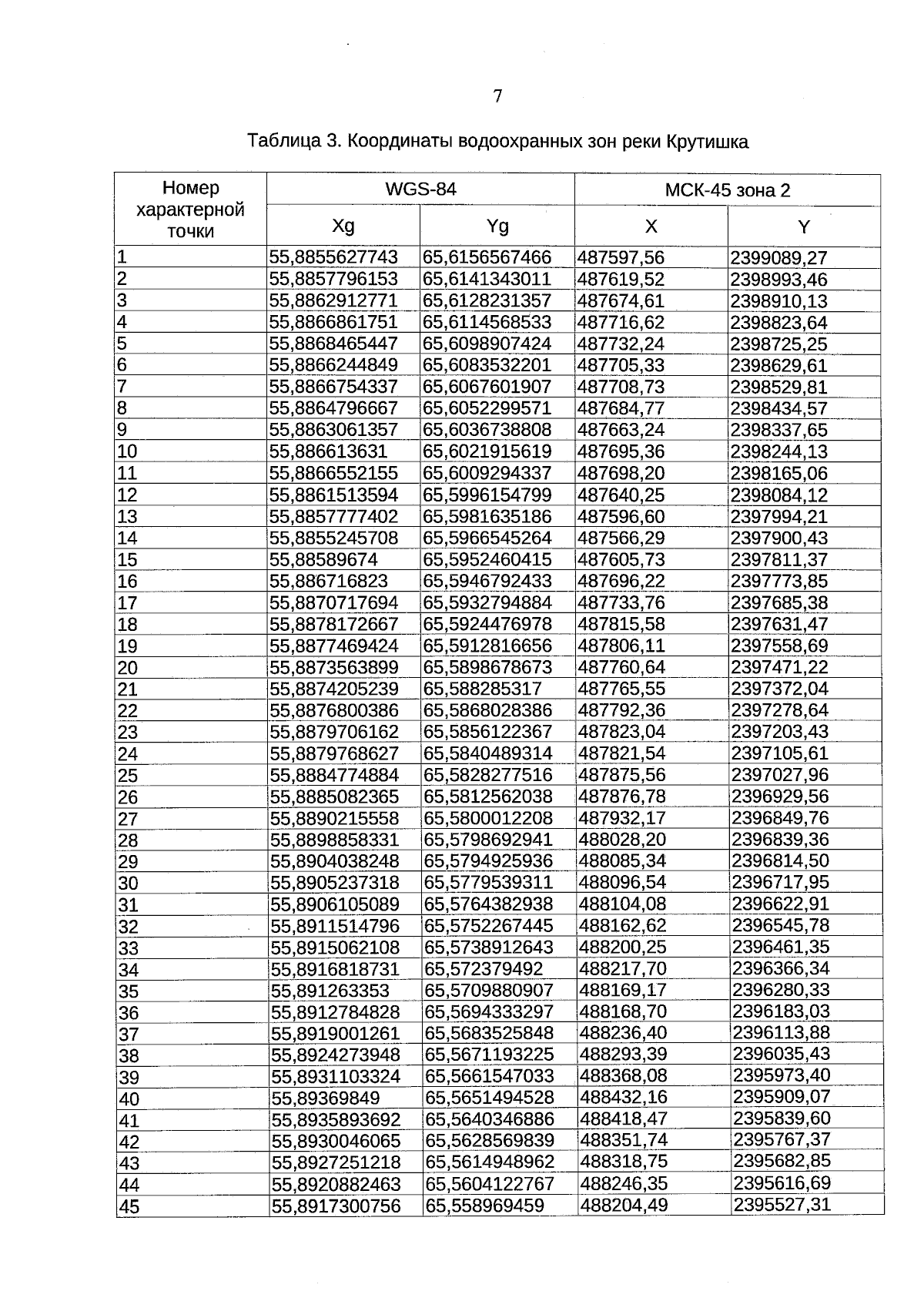
"Об утверждении границ водоохранных зон, прибрежных защитных полос и местоположения береговой линии (границ водного объекта) озер Пьянково и Песьяное, рек Крутишка, Боровлянка, Бродовка, Нияп, Тебеняк, Гологузка, Исток, Курья (Мендеря), пруда без названия на реке Курья, пруда без названия на реке Крутишка, озера Белое в границах Белозерского муниципального округа Курганской области"
(Зарегистрирован 21.11.2024 № 240320409)
Номер опубликования: 4501202411220001
Дата опубликования: 22.11.2024
Страница №7 из 284:
Увеличить