Официальное опубликование правовых актов
ОФИЦИАЛЬНОЕ ОПУБЛИКОВАНИЕ
Постановление Департамента имущественных и земельных отношений Курганской области от 20.11.2024 № 49-п
"Об установлении публичного сервитута"
(Зарегистрирован 20.11.2024 № 240510049)
Номер опубликования: 4501202411210002
Дата опубликования: 21.11.2024
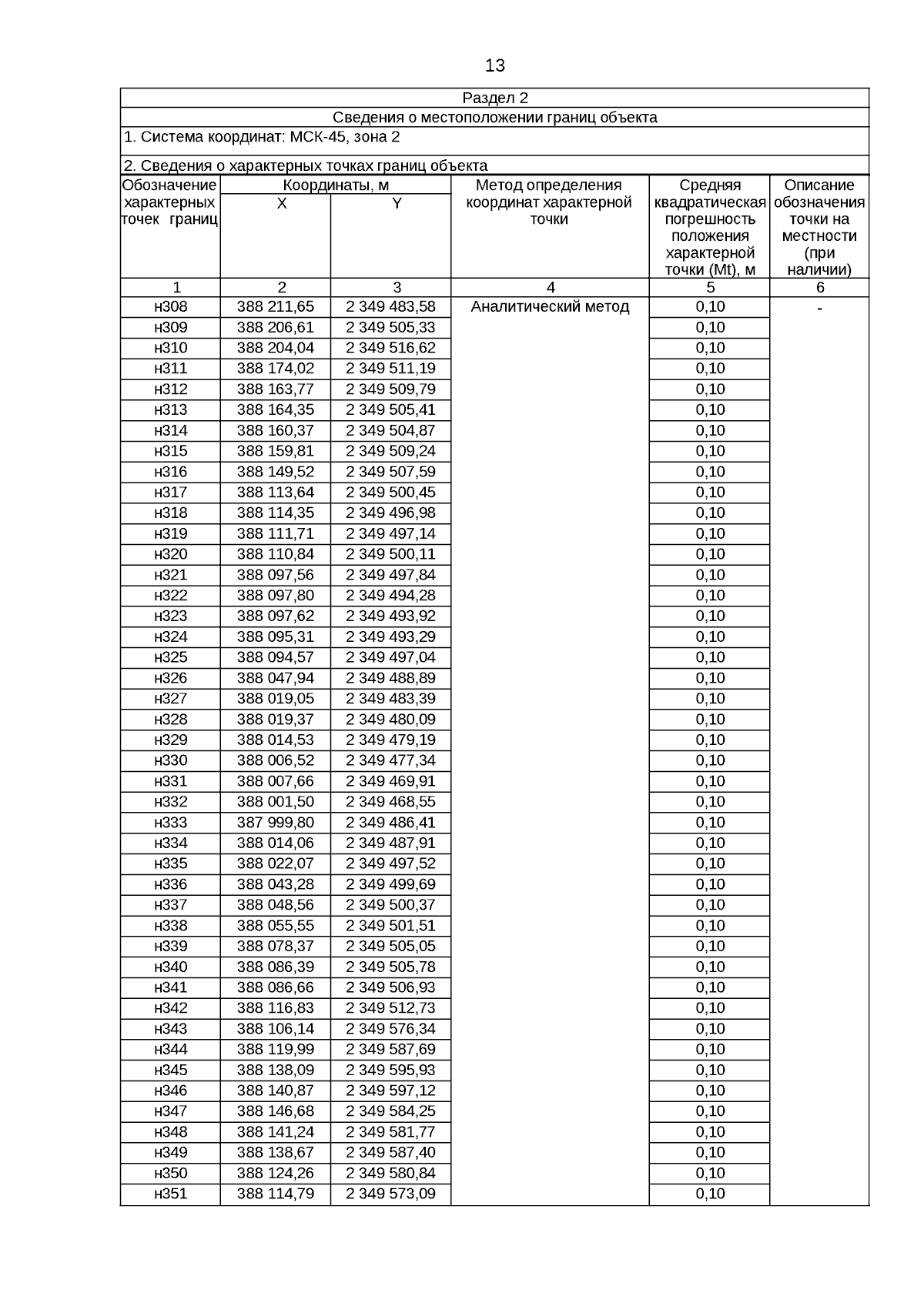
Страница №13 из 29:
Увеличить