Официальное опубликование правовых актов
ОФИЦИАЛЬНОЕ ОПУБЛИКОВАНИЕ
Постановление Департамента имущественных и земельных отношений Курганской области от 18.10.2024 № 36-п
"О внесении изменений в постановление Департамента имущественных и земельных отношений Курганской области от 16 ноября 2022 года № 96-п"
(Зарегистрирован 18.10.2024 № 240510036)
Номер опубликования: 4501202410220001
Дата опубликования: 22.10.2024
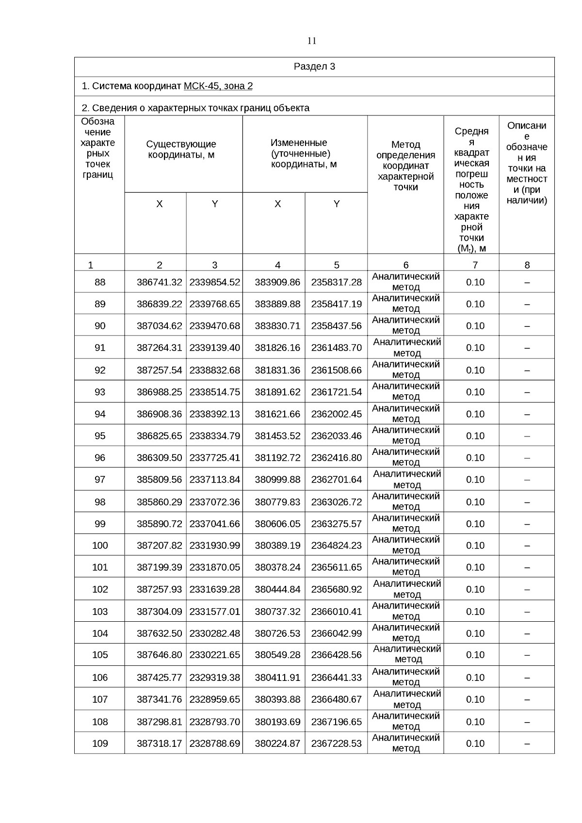
Страница №11 из 40:
Увеличить