Официальное опубликование правовых актов
ОФИЦИАЛЬНОЕ ОПУБЛИКОВАНИЕ
Приказ Департамента гражданской защиты, охраны окружающей среды и природных ресурсов Курганской области от 18.10.2024 № 354
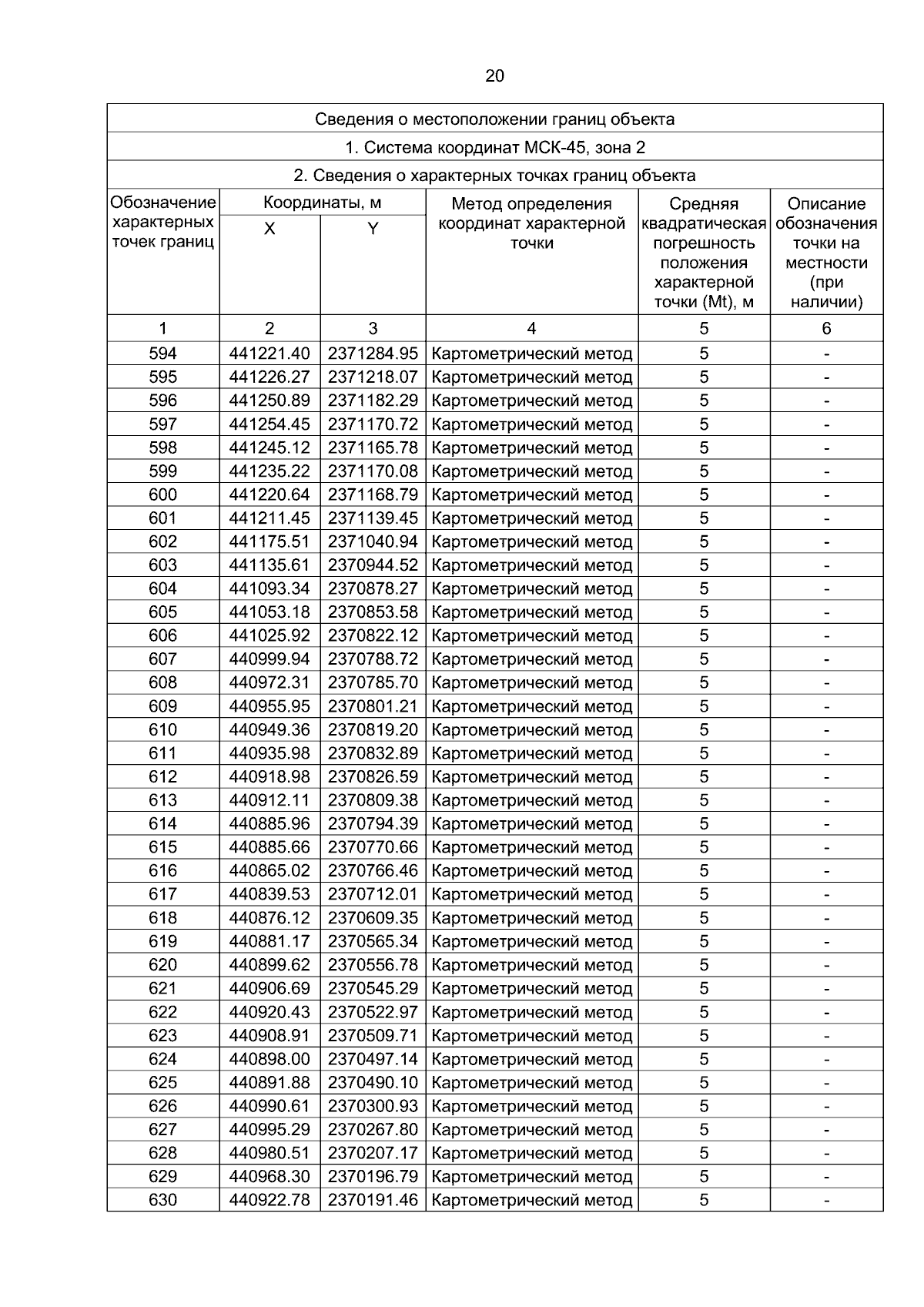
"О внесении изменений в приказ Департамента природных ресурсов и охраны окружающей среды Курганской области от 23 августа 2019 года № 431 "Об установлении границ лесопаркового зеленого пояса вокруг города Кургана"
(Зарегистрирован 18.10.2024 № 240320354)
Номер опубликования: 4501202410210001
Дата опубликования: 21.10.2024
Страница №20 из 681:
Увеличить