Официальное опубликование правовых актов
ОФИЦИАЛЬНОЕ ОПУБЛИКОВАНИЕ
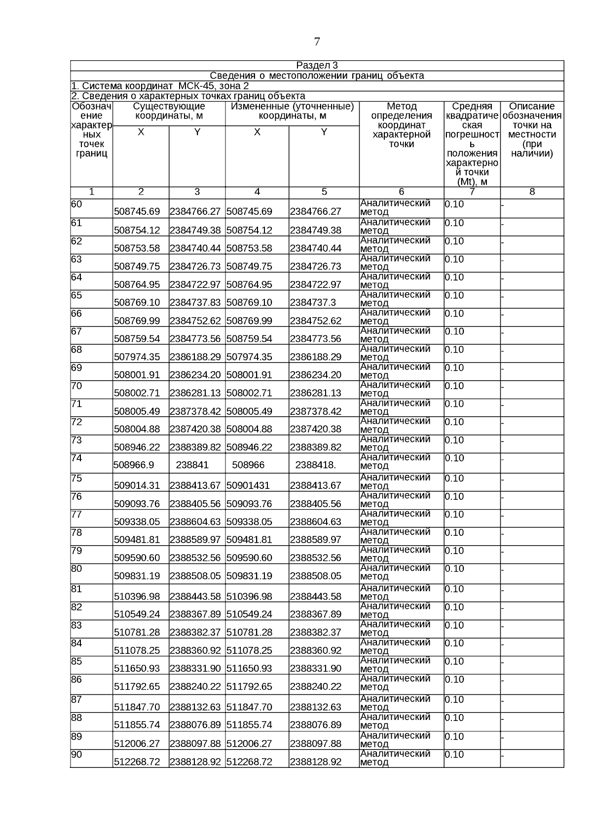
Постановление Департамента имущественных и земельных отношений Курганской области от 17.10.2024 № 35-п
"О внесении изменений в постановление Департамента имущественных и земельных отношений Курганской области от 13 июля 2023 года № 23-п"
(Зарегистрирован 17.10.2024 № 240510035)
Номер опубликования: 4501202410180002
Дата опубликования: 18.10.2024
Страница №7 из 32:
Увеличить