Официальное опубликование правовых актов
ОФИЦИАЛЬНОЕ ОПУБЛИКОВАНИЕ
Приказ Департамента гражданской защиты, охраны окружающей среды и природных ресурсов Курганской области от 13.03.2024 № 84
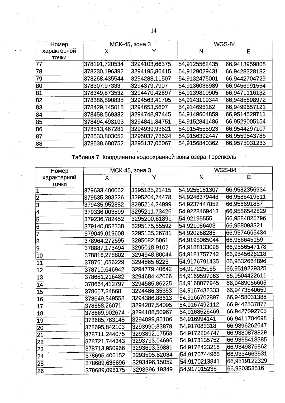
"Об утверждении границ водоохранных зон, прибрежных защитных полос и местоположения береговой линии (границ водного объекта) озер в границах Макушинского муниципального округа Курганской области"
(Зарегистрирован 13.03.2024 № 240320084)
Номер опубликования: 4501202403140002
Дата опубликования: 14.03.2024
Страница №14 из 143:
Увеличить