Официальное опубликование правовых актов
ОФИЦИАЛЬНОЕ ОПУБЛИКОВАНИЕ
Приказ Департамента гражданской защиты, охраны окружающей среды и природных ресурсов Курганской области от 07.02.2024 № 45
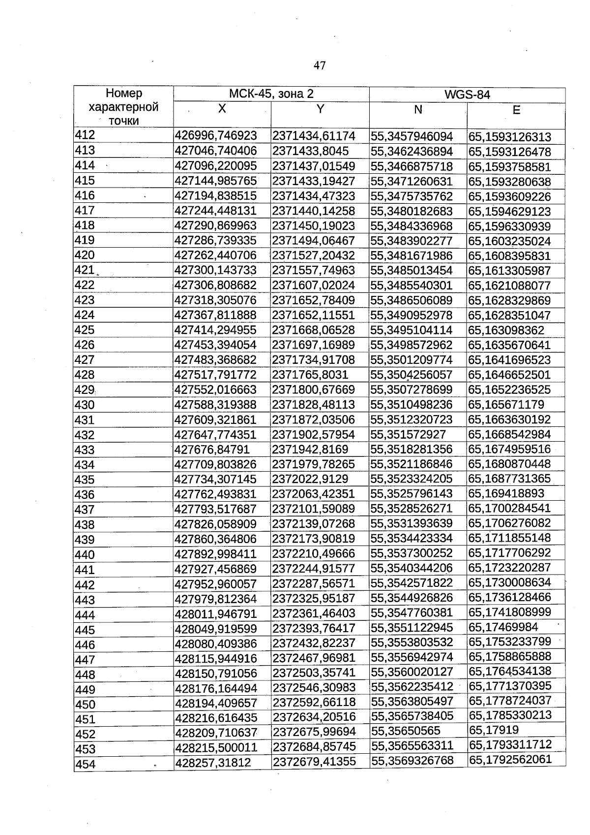
"Об утверждении границ водоохранных зон, прибрежных защитных полос и местоположения береговой линии (границ водного объекта) водных объектов в границах муниципального образования город Курган Курганской области"
(Зарегистрирован 07.02.2024 № 240320045)
Номер опубликования: 4501202402080001
Дата опубликования: 08.02.2024
Страница №47 из 68:
Увеличить