Официальное опубликование правовых актов
ОФИЦИАЛЬНОЕ ОПУБЛИКОВАНИЕ
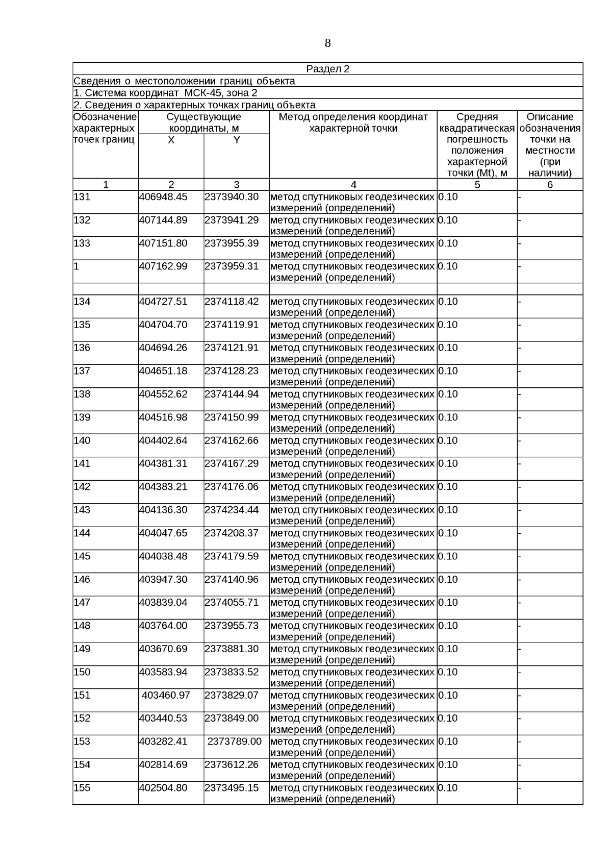
Постановление Департамента имущественных и земельных отношений Курганской области от 25.12.2023 № 47-п
"О внесении изменения в постановление Департамента имущественных и земельных отношений Курганской области от 23 сентября 2022 года № 86-п"
(Зарегистрирован 25.12.2023 № 230510047)
Номер опубликования: 4501202312260010
Дата опубликования: 26.12.2023
Страница №8 из 48:
Увеличить