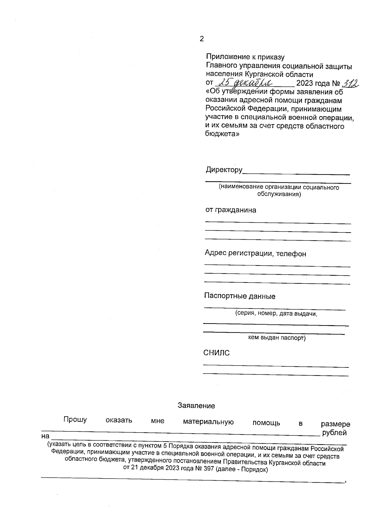
Приказ Главного управления социальной защиты населения Курганской области от 25.12.2023 № 312
"Об утверждении формы заявления об оказании адресной помощи гражданам Российской Федерации, принимающим участие в специальной военной операции, и их семьям за счет средств областного бюджета"
(Зарегистрирован 25.12.2023 № 231320031)
"Об утверждении формы заявления об оказании адресной помощи гражданам Российской Федерации, принимающим участие в специальной военной операции, и их семьям за счет средств областного бюджета"
(Зарегистрирован 25.12.2023 № 231320031)
Номер опубликования: 4501202312260006
Дата опубликования:
26.12.2023
