Официальное опубликование правовых актов
ОФИЦИАЛЬНОЕ ОПУБЛИКОВАНИЕ
Постановление Департамента имущественных и земельных отношений Курганской области от 19.12.2023 № 44-п
"О внесении изменений в постановление Департамента имущественных и земельных отношений Курганской области от 22 февраля 2023 года № 6-п"
(Зарегистрирован 19.12.2023 № 230510044)
Номер опубликования: 4501202312210040
Дата опубликования: 21.12.2023
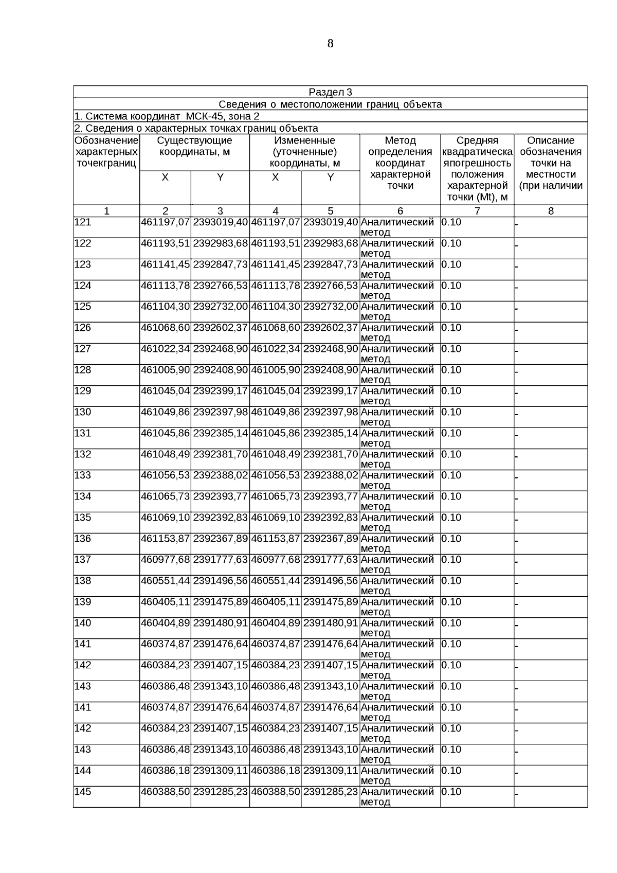
Страница №8 из 40:
Увеличить