Официальное опубликование правовых актов
ОФИЦИАЛЬНОЕ ОПУБЛИКОВАНИЕ
Постановление Департамента имущественных и земельных отношений Курганской области от 26.10.2023 № 39-п
"Об установлении публичного сервитута"
(Зарегистрирован 26.10.2023 № 230510039)
Номер опубликования: 4501202310310002
Дата опубликования: 31.10.2023
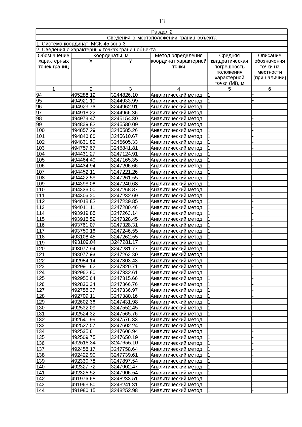
Страница №13 из 112:
Увеличить